CorradoDelBuono.it

Apertura Sedi Farmaceutiche

Questionari ministeriali per l'assegnazione di sedi farmaceutiche

GRUPPI DI QUESITI 701-720

701. In caso di shock anafilattico quale dei seguenti è un farmaco salvavita?
702. Alcuni farmaci agiscono come antagonisti indiretti di neurotrasmettitori in quanto inibiscono gli enzimi che, nell’organismo, intervengono nei processi di sintesi dei trasmettitori stessi. Quale, tra le coppie farmaco - enzima sotto elencate, rappresenta l’enzima ed il corrispondente inibitore?
703. Il farmacista è tenuto ad indicare la data entro la quale deve essere impiegato il preparato magistrale allestito in farmacia?
704. Quale dei prodotti sotto elencati Può essere impiegato come agente correttore di acidità nella preparazione delle forme farmaceutiche liquide che devono presentare valori di pH analoghi a quelli dei liquidi biologici
705. Quale, dei farmaci elencati, può potenziare gli effetti delle sulfoniluree?
706. Una siringa preriempita con soluzione di NaCl 0,9% destinata dal fabbricante al lavaggio di dispositivi medici come ad esempio i cateteri è:
707. La chinidina, avente la struttura indicata, è un farmaco utilizzato come:

708. Derivati dell’acido Lisergico possono trovare impiego come
709. Le strutture indicate rappresentano composti utilizzabili come additivi in tecnica farmaceutica. Quale degli accoppiamenti (struttura - caratteristiche) sotto riportati è corretto

710. Il metadone, un farmaco largamente utilizzato nella terapia di recupero dei tossicodipendenti, ha la struttura indicata. A quale, dei composti sotto indicati, il metadone risulta più simile dal punto di vista strutturale?

711. Le tetracicline NON sono consigliabili ai soggetti

712. uale motivo il rivestimento delle compresse costituito dal prodotto avente la struttura riportata e che prende il nome di Eudragit L100 si solubilizza facilmente a livello intestinale? In quanto l’eccipiente

713. L’etinilestradiolo differisce dall'estradiolo per:
714. Ai sensi della Legge 713/86 chiunque intenda produrre o confezionare in proprio i prodotti cosmetici:
715. Quale tra i farmaci elencati può indurre vomito?
716. Qual è lo steroide la cui sintesi viene inibita da molti farmaci antifungini?
717. Il farmacista è tenuto ad annotare sull’etichetta di preparazioni galeniche allestite in farmacia, se l'impiego del medicinale è per “uso esterno”?
718. Il principio attivo aripiprazolo può essere classificato come:
719. Quale, tra gli enzimi seguenti, NON partecipa alla formazione della melatonina nell’organismo?
720. La F.U. definisce un contenitore ermeticamente chiuso quando:

CorradoDelBuono.it

ASSODOLAB, Associazione Nazionale Docenti di Laboratorio

Ente accreditato e qualificato dal MIUR per la formazione del personale della Scuola - Direttiva 170 del 21/03/2016.
Via Cavour, 74 - 76015 TRINITAPOLI BT - Italy
Telefono 339.2661022 - P. IVA 03039870716

PUBBLICITA'

PRIVACY: Questo sito utilizza cookie di terze parti (Google AdSense, Google Analytics) per migliorare servizi ed esperienza dei lettori. MAGGIORI DETTAGLI

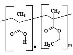
DICHIARAZIONE DI NON RESPONSABILITA': Il titolare del sito non si assume alcuna responsabilità per eventuali danni diretti o indiretti derivanti dall'uso delle informazioni presenti nel sito o non aggiornate. L'accesso e l'utilizzo del sito avvengono sotto la responsabilità dell'utente.  Tutti i contenuti del sito sono usufruibili in maniera gratuita. Non viene mai richiesto dagli autori del sito di utilizzare carte di credito o altri strumenti di pagamento.