CorradoDelBuono.it

Apertura Sedi Farmaceutiche

Questionari ministeriali per l'assegnazione di sedi farmaceutiche

GRUPPI DI QUESITI 641-660

641. Non sono erogabili a carico del SSN i prodotti dietetici destinati a soggetti affetti da:
642. Il termine “mesilato” si riferisce ad un controione di basi poco solubili; tale termine è sinonimo di
643. Il rapporto tra servizio sanitario nazionale e le farmacie pubbliche e private è disciplinato da accordi a livello
644. Da quale precursore deriva il GABA avente la struttura indicata

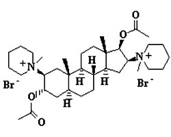
645. Il pancuronio bromuro, avente la struttura indicata, è un bloccante neuromuscolare in quanto

646. Gli enzimi di fase I responsabili della biotrasformazione di un farmaco catalizzano reazioni di:
647. Quale particolare “modello” di registro deve essere adottato dal farmacista per i movimenti di entrata e uscita degli stupefacenti della tabella II sezione A, B e C?
648. I farmaci orfani sono:
649. Quale dei seguenti effetti costituisce l’azione terapeutica più importante dei farmaci antagonisti istaminici H2?
650. Quale tra i seguenti farmaci si usa nella profilassi dell’asma allergico e agisce stabilizzando i mastociti?
651. E’ consentito al farmacista esporre in farmacia avvisi relativi a studi privati di medici, odontoiatri o di altri sanitari?
652. La cocaina, avente la struttura indicata, interferisce sulla trasmissione noradrenergica in quanto

653. La fenitoina sale di sodio è il composto rappresentato dalla struttura indicata. La sua attività farmacologica è

654. Le autorizzazioni alla pubblicità dei dispositivi medici hanno validità di:
655. Quale, tra gli enzimi seguenti, NON partecipa alla formazione dei neurotrasmettitori adrenergici nell’organismo?
656. Quale dei seguenti è un ormone prodotto dalla neuroipofisi?
657. La d-tubocurarina compete con l’acetilcolina per il sottotipo N2 di recettore nicotinico della placca neuromuscolare determinando:
658. Quale, tra i farmaci antimicrobici seguenti, agisce sulla parete cellulare batterica?
659. Il tipo di reazione a farmaci provocata dalla penicillina è:
660. Quali medicinali iniettabili possono essere consegnati dal farmacista senza presentazione di ricetta medica per la necessità di non interrompere il trattamento terapeutico, se ricorrono le condizioni previste dalla normativa per la consegna di medicinali in caso di necessità e urgenza?

CorradoDelBuono.it

ASSODOLAB, Associazione Nazionale Docenti di Laboratorio

Ente accreditato e qualificato dal MIUR per la formazione del personale della Scuola - Direttiva 170 del 21/03/2016.
Via Cavour, 74 - 76015 TRINITAPOLI BT - Italy
Telefono 339.2661022 - P. IVA 03039870716

PUBBLICITA'

PRIVACY: Questo sito utilizza cookie di terze parti (Google AdSense, Google Analytics) per migliorare servizi ed esperienza dei lettori. MAGGIORI DETTAGLI

DICHIARAZIONE DI NON RESPONSABILITA': Il titolare del sito non si assume alcuna responsabilità per eventuali danni diretti o indiretti derivanti dall'uso delle informazioni presenti nel sito o non aggiornate. L'accesso e l'utilizzo del sito avvengono sotto la responsabilità dell'utente.  Tutti i contenuti del sito sono usufruibili in maniera gratuita. Non viene mai richiesto dagli autori del sito di utilizzare carte di credito o altri strumenti di pagamento.